Terminale STD2A

"Wir müssen wissen, wir werden wissen." (David Hilbert)

Contenu des cours

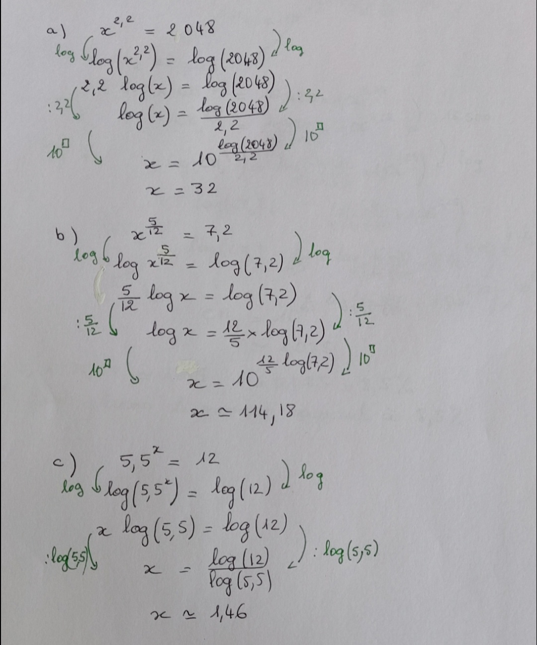
Correction de l'exercice 36 page 74
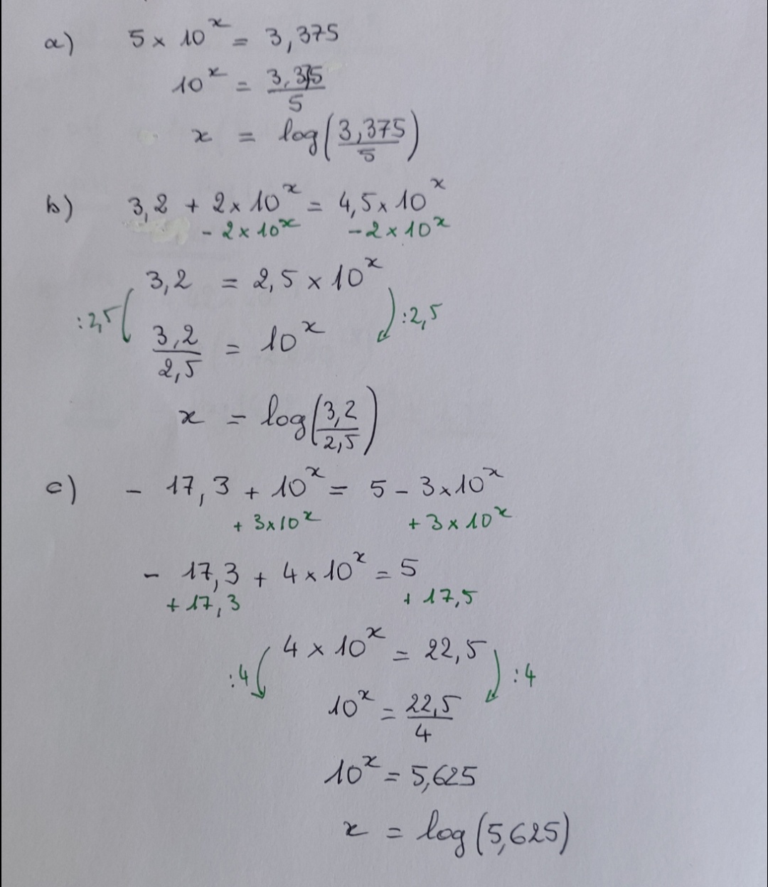
Correction de l'exercice 31 page 73
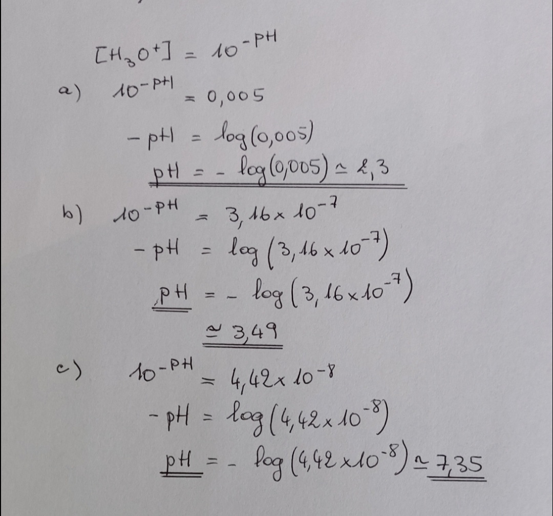
Correction de l'exercice 19 page 71
Correction de l'exercice 15 page 71
Correction de l'exercice 5 page 70
Correction de l'exercice 2 page 70
Correction de l'exercice 10
Correction de l'exercice 9
Correction de l'exercice 8
Lien vers la fiche d'exercices

Titre 1 : "Définition de la fonction exponentielle de base a

Dans le livre page 42 - Encarts violets

Lien vers le titre 2 "Sens de variation et représentation graphique"

Titre 3 : "Propriétés algébriques des fonctions exponentielles"

Dans le livre page 44 - Encart violet en haut

Titre 4 : "Application au calcul du taux moyen"

Dans le livre page 44 - Encart violet en bas

Correction de l'exercice 2 page 45
Correction de l'exercice 1 page 45
Correction de l'exercice 36 page 52
Correction de l'exercice 34 page 52
Correction de l'exercice 33 page 52
Correction de l'exercice 3 page 43
Correction de l'exercice 2 page 43
Correction de l'exercice 20 page 50
Correction de l'exercice 3 page 48
Correction de l'exercice 26 page 51
Correction de l'exercice 2 page 48
  • Correction de l'exercice du cours
  • Correction de l'exercice 2 page 157
    Correction de l'exercice 38 page 167
    Correction de l'exercice 30 page 165
    Correction de l'exercice 23 page 163
    Correction de l'exercice 21 page 163
    Correction de l'exercice 3 page 160
    Correction de l'exercice 18 page 162
    Correction de l'exercice 28 page 26
    Correction de l'exercice 27 page 26
    Correction de l'exercice 26 page 26
    Correction de l'exercice 25 page 25
    Correction de l'exercice 24 page 25
    Correction de l'exercice 18 page 25
    Correction de l'exercice 13 page 24
    Correction de l'exercice 12 page 24
    Correction de l'exercice 11 page 24
    Correction de l'exercice 8 page 24
    Correction de l'exercice 7 page 24
    Correction de l'exercice 6 page 24
    • Correction de l'exercice 10 page 139
    • Correction de l'exercice 13 page 139
    • Correction de l'exercice 3 page 138
    • Correction de l'exercice 8 page 139
    • Correction de l'exercice 7 page 139
    • Correction de l'exercice 2 page 135
    • Correction de l'exercice 1 page 135
    • Correction de l'exercice de la page 133